impact slag van muizenval berekenen

Jan stelde deze vraag op 03 maart 2009 om 09:15.
Ik probeer al een tijdje de impact van de slag van een muizenval te berekenen. Het is me nog steeds niet gelukt, ik hoop dat u kunt helpen.

Wanneer ik de muizenval span (hoekverdraaiing van de klem is dan 180 graden) dan heb ik een kracht van 23 Newton nodig om de klem op zijn plaats te houden.

De klem heeft een arm van 80 mm.

Wanneer ik vervolgens de klem loslaat klapt het tegen het plankje aan. Met welke kracht botst het klemmetje tegen het plankje?

Op welke manier kan ik dit uitrekenen?

Alvast hartelijk dank!

Reacties

Ron op 04 maart 2009 om 09:26

Interessante vraag die niet direct precies te beantwoorden is. Je kunt er wel een aantal dingen over zeggen, op basis van een aantal veronderstellingen.

Laten we hierbij uitgaan van de energie. Bij het spannen van de veer verricht een mens arbeid op de veer, de energie die de spieren leveren wordt omgezet in veerenergie. Wanneer de val dichtklapt, wordt deze veerenergie omgezet in bewegingsenergie (kinetische energie) van de klem. De klem raakt het houtje en wordt dan door een grote kracht in korte tijd tot stilstand gebracht: er wordt arbeid verricht op de klem.

Als we dit doorrekenen komen we tot de volgende stappen: Het spannen van de veer kost een kracht van 23 N, de klem heeft een arm van 80 mm. Als we er van uitgaan dat deze kracht constant is, dan heeft de klem tijdens het spannen, een afstand afgelegd van $$s= \Pi \times r$$ (de halve omtrek). Hierdoor is een arbeid verricht van W = F * s.We vinden W = 23 N * 0,025 m = 0,58 Nm. Deze arbeid wordt bij het dichtklappen van de val omgezet in bewegingsenergie van de klem. De bewegingsenergie van de klem wordt bij het neerkomen weer omgezet in andere vormen van energie, de beweging wordt geremd. Bij dit remmen oefent de val (of de muis die tussen de klem en het houtje zit) een remkracht uit op de klem. Door deze remkracht komt de klem tot stilstand, de remkracht heeft arbeid verricht op de klem. Ook voor deze arbeid geldt weer W = F * s maar in dit geval is de 's' (de afstand waarover de kracht wordt uitgeoefend) veel kleiner dan bij het spannen van de klem. Als we aannemen dat de remweg bij het neerkomen 1,0 cm (0,01 m) is, dan is de kracht waarmee geremd wordt te berekenen met F = W/s . Invullen levert: F = 0,58 Nm / 0,01 m = 580 N. Wanneer de remweg niet 1,0 cm is maar 0,5 cm dan wordt de remkracht twee keer zo groot.

De kracht wordt dus groter naarmate de remweg korter is. In veel situaties wordt juist de remweg langer gemaakt om de kracht te verkleinen. Denk bijvoorbeeld aan de tegels die onder een speeltoestel liggen of aan de autogordels die je moet dragen.

Het bovenstaande rekenvoorbeeld is slechts een indicatie. We hebben hier ook alle vormen van energieverlies verwaarloosd., Om meer te weten te komen, zou een proefje gedaan moeten worden.

 

Jan op 04 maart 2009 om 09:48

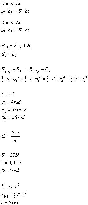
S = stoot [Ns]

m = massa [kg]

v = snelheid [m/s]

F = kracht [N]

t = tijd [s]

E = energie [J]

K = veerconstante

phi = hoekverdraaiing

w = hoeksnelheid

I = traagheidsmoment

r = arm/straal [mm]

V = inhoud [m3]

rho = dichtheid [kg/m3]


Allereerst hartelijk dank voor uw uitleg! Ik zit in een hele andere richting te denken alleen de het klopt niet helemaal hoe ik het ingevuld aan het antwoord te zien..
Zou dit ook kunnen kloppen of is het beter om het volgens uw redenatie te doen?
Bvd voor uw hulp.

(ik hoop dat de afbeeldingen te lezen zijn..)

Ron op 05 maart 2009 om 14:54

Het genoemde probleem kan zowel met behulp van het begrip energie, als met behulp van het begrip stoot worden opgelost.

Voor het ene geval (energie) heb je de afstand nodig waarover de kracht werkt, je gebruikt W = F * s

Als je met het begrip stoot werkt, moet het ook kunnen. In dat geval gebruik je de formule F * dt = m * dv . Je hebt de tijd (dt) nodig waarover de kracht werkt. Het product van F en dt wordt ook stoot genoemd.

Zie voorlopig even deze artikelen/bijlessen:
http://www.natuurkunde.nl/artikelen/view.do?supportId=32683
http://www.natuurkunde.nl/artikelen/view.do?supportId=32691 

Ik ben van plan om deze vraag te verwerken tot een rekenopgave. Dat heeft even tijd nodig maar ik hoop er binnen een week (uiterlijk 13 maart) op terug te komen. Tot die tijd zijn we afhankelijk van andere beantwoorders op de vraagbaak of van de hierboven genoemde artikelen/bijlessen.

Ron op 16 maart 2009 om 19:09
Ik heb deze vraag uitgewerkt tot een opgave. Zie

http://www.natuurkunde.nl/artikelen/view.do?supportId=939981 

De uitwerking met gebruik van traagheidsmomenten (zoals bij reactie van Jan Swinkels van 4 maart) is in principe ook mogelijk. Hierbij worden ook de krachten op de zijkanten van de klem meegerekend. Deberekening wordt daardoor wat ingewikkelder maar het principe blijft hetzelfde.

Plaats een reactie

+ Bijlage

Bevestig dat je geen robot bent door de volgende vraag te beantwoorden.

Ariane heeft vijfentwintig appels. Ze eet er eentje op. Hoeveel appels heeft Ariane nu over?

Antwoord: (vul een getal in)