Lineair?

Thijs stelde deze vraag op 06 februari 2026 om 17:53.

Hallo, ik begrijp het lineaire deel niet (het andere deel uiteraard wel). Hoe komt men tot een RE verband? Mvg Thijs

Reacties

Theo de Klerk op 06 februari 2026 om 18:21

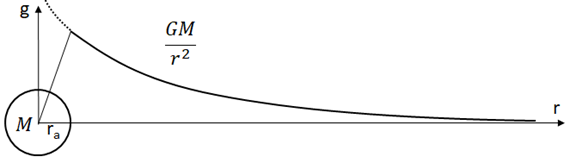
Zo lang de afstand kleiner is dan de straal van de bol is de massa binnen de bol kleiner (evenredig met r3) dan de complete bol. De zwaartekracht van die massa is dan ook kleiner op die afstand (evenredig met r -2) zodat het netto effect r3 r -2 = r - een lineair verband. Eenmaal bij straal R aangekomen, neemt de massa niet meer toe, de afstand r wel en dan geldt alleen nog de r -2 relatie: de afnemende kromme.

Thijs op 06 februari 2026 om 21:32

Hoe kom je hier allemaal aan? Mvg Thijs

Jaap op 06 februari 2026 om 22:02

Dag Thijs,
Kies een punt P ergens binnen de aardbol, niet het middelpunt.
Teken een extra bol om het middelpunt van de aarde, door punt P. Dat is een 'binnenbol'  in de aardbol.
Newton heeft wiskundig aangetoond: voor de gravitatiekracht in punt P telt alleen de massa mee die in de binnenbol zit. De massa tussen het aardoppervlak en de binnenbol oefent in P ook gravitatiekrachten uit. Maar die krachten heffen elkaar in alle richtingen op.
Wat overblijft, is alleen de gravitatiekracht die wordt uitgeoefend door de massa die in de binnenbol zit.
Het volume van de binnenbol is

met $r_{P}$ is de straal van de binnenbol.
De massa in de binnenbol is

met $\rho$ is de dichtheid in de binnenbol.
De gravitatiekracht op een massa $m$ in punt P is

Als we de draaiing van de aarde niet meerekenen, is de zwaartekracht $F_\text{z}=m\cdot g$ gelijk aan de gravitatiekracht, zodat

Dit is recht evenredig met $r_\text{P}$.
Aanname: de dichtheid in de aardbol is overal even groot. Dat is in werkelijkheid niet zo.
Controleer door invullen dat de laatste uitdrukking aan het aardoppervlak levert $g=9,820\,\text{m/s}^2$.
Zo duidelijk?
Wil je een paar opgaven om je met deze situatie te oefenen?
Groet, Jaap

Theo de Klerk op 06 februari 2026 om 22:04

Tja, wat basis natuurkunde en wiskunde?

M = ρ V = ρ 4/3 π r3 ∝ (dus evenredig met) r3

Fz = maz =  m  GM/r2 ∝ M 1/r2

En als je die "M" in Fz invult met de eerste formule dan zie je dat Fz ∝ r3 r -2 = r

Lijkt me een leuke eindexamenvraag.

Plaats een reactie

+ Bijlage

Bevestig dat je geen robot bent door de volgende vraag te beantwoorden.

Clara heeft tweeëndertig appels. Ze eet er eentje op. Hoeveel appels heeft Clara nu over?

Antwoord: (vul een getal in)