krachten samenstellen

Robin stelde deze vraag op 26 november 2008 om 17:49.

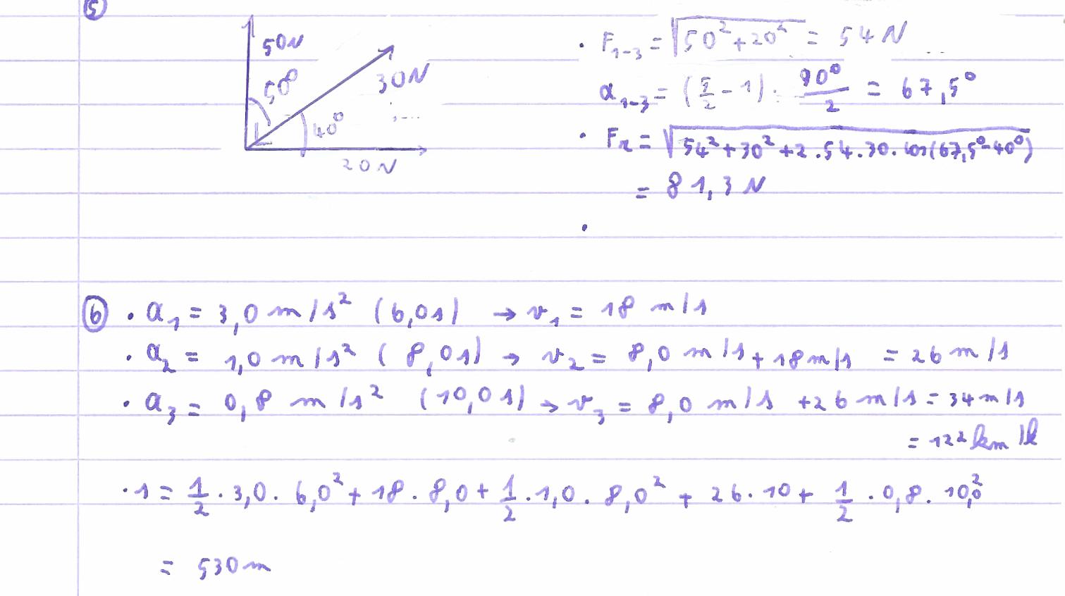
5. Drie krachten liggen in hetzelfde vlak en werken in op een massa m. Degrootte van de drie krachten is respectievelijk 20 N, 30 N en 50 N. De hoektussen de eerste en de tweede kracht is 40°, die tussen de tweede en dederde kracht bedraagt 50°, telkens in wijzerzin gemeten (krachten 1 en 3staan dus loodrecht op elkaar). Bepaal de grootte en de oriëntatie van de

resultante.


Ik heb reeds gevonden hoe de kracht te berekenen, maar hoe vind je de hoek. (Zie bijlage voor mijn berekeningen, oef. 5)

Alvast bedankt

Bijlagen:

Reacties

Jan op 26 november 2008 om 20:37
Dag Robin,

Persoonlijk heb ik een hekel aan ingewikkelde formules als ik het ook met simpelere kan doen in een paar stappen. Met een hoek van 90° tussen kracht 1 en kracht 3 wordt dat al héél simpel.

Persoonlijk zou ik kracht 2 eerst ontbinden in een horizontale en verticale component, die dan bij kracht 1 resp. kracht 3 optellen, en die twee resultantes m.b.v. Pythagoras tot één uiteindelijke resultante samenstellen.

De hoek volgt dan heel simpel door de tangens te berekenen (kracht verticaal : kracht horizontaal)

laat maar weten of het lukt. Anders help ik verder.

Groet, Jan

Plaats een reactie

+ Bijlage

Bevestig dat je geen robot bent door de volgende vraag te beantwoorden.

Noortje heeft zevenentwintig appels. Ze eet er eentje op. Hoeveel appels heeft Noortje nu over?

Antwoord: (vul een getal in)