Doorstoot-effect

Richard stelde deze vraag op 18 december 2006 om 21:13.

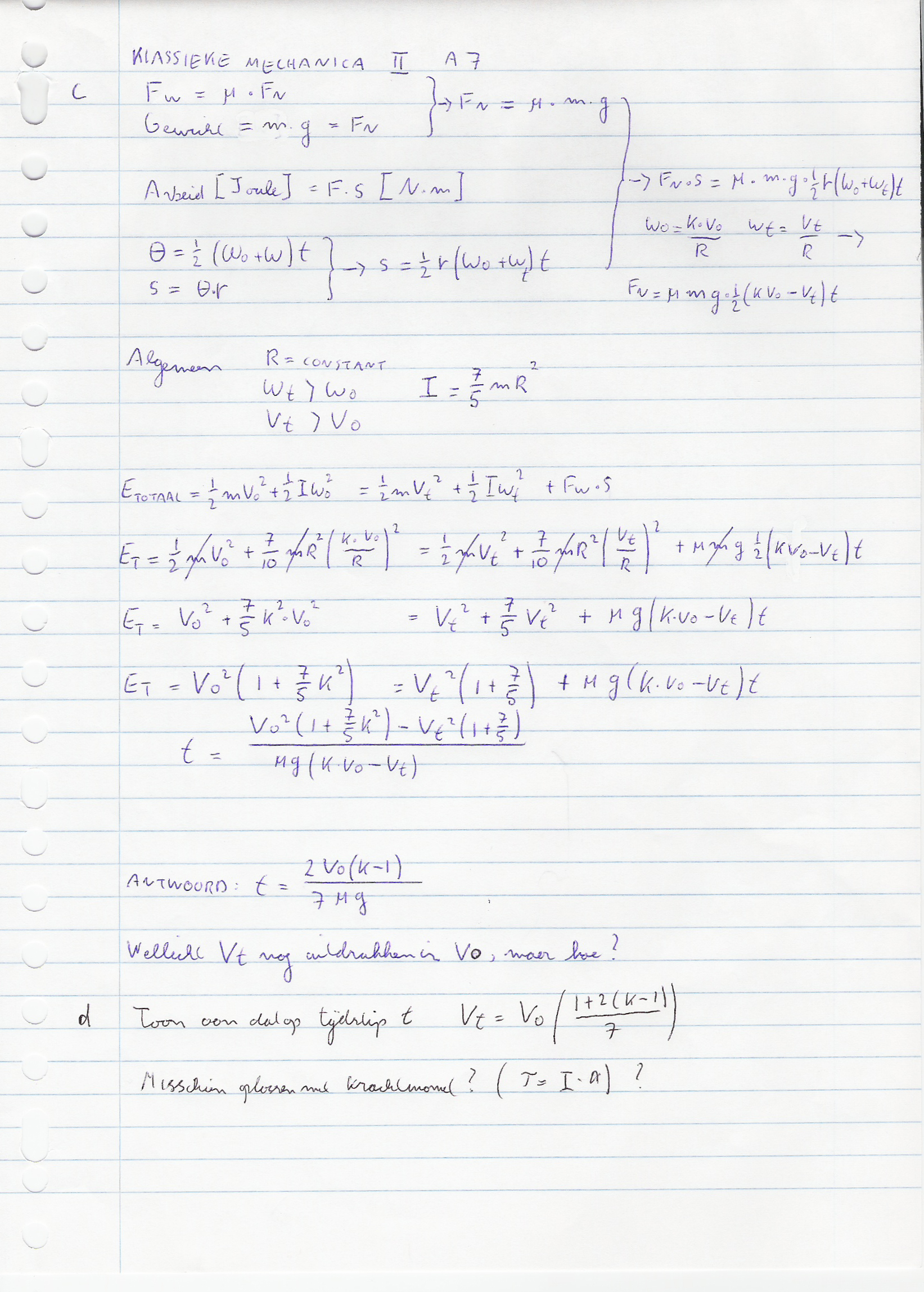
Ik heb een ingewikkelde som over een biljartbal die effect heeft. Eerst slipt de bal, en na een poosje niet meer en rolt dan sneller.

De grote vraag is op welk tijdstip stopt het slippen, ze de 2 bijlagen.

Met groet, Richard

Bijlagen:

Reacties

Jaap op 19 december 2006 om 23:27

Dag Richard,
Zolang het slippen duurt, is er een wrijvingskracht Fw tussen de bal en het laken van het biljart.
Voor de wrijvingskracht geldt Fw=μ×Fn met Fn is de normaalkracht van het biljart op de bal. De normaalkracht is even groot als de zwaartekracht Fz=m×g op de bal. Daarom geldt Fw=μ×m×g. Zolang het slippen duurt, heeft Fw een constante grootte. Zie de figuur in de bijlage die je hebt geplaatst: Fw op de bal grijpt aan in punt P en is voorwaarts gericht (in de figuur: naar rechts).
De wrijvingskracht op de bal versnelt de horizontale verplaatsing van de bal. Tijdens het slippen is de versnelling a positief. De snelheid v(t) van het middelpunt van de bal neemt toe.
De wrijvingskracht op de bal vertraagt de rotatie van de bal. Tijdens het slippen is de hoekversnelling alfa negatief. De hoeksnelheid ω(t) van de bal neemt af. De snelheid u(t)=ω(t)×r van een punt op de grote omtrek van de bal neemt eveneens af.
Het slippen stopt op het moment waarop de snelheid u(t) van een punt op de grote omtrek van de bal gelijk is geworden aan de verplaatsingssnelheid v(t) van de bal. We zoeken daarom uitdrukkingen voor v(t) en u(t) en stellen ze aan elkaar gelijk.
Voor de verplaatsing van de bal gebruiken we Fres=Fw=m×a → a=Fw/m=μ×m×g/m → a=μ×g. De versnelling heeft een constante grootte, zodat geldt v(t)=v0+a×t=v0+μ×g×t.
De hoekversnelling alfa wordt veroorzaakt door het moment M van Fw op de bal. M=I×alfa met I is het traagheidsmoment ten opzichte van een as door het middelpunt van de bal.
M=Fw×r=−μ×m×g×r (met een minteken omdat het moment de rotatie vertraagt). Voor een homogene, massieve bal geldt I=2/5×m×r² (en niet I=7/5×m×r², zoals vermeld in de handgeschreven bijlage die je hebt geplaatst).
Hieruit volgt −μ×m×g×r=−2/5×m×r²×alfa → alfa=−5/2×μ×g/r. De hoekversnelling heeft een constante grootte, zodat geldt ω(t)=ω0+alfa×t=k×v0/r−5/2×μ×g/r×t → ω(t)=(k×v0−5/2×μ×g×t)/r.
De snelheid van een punt op de omtrek is u(t)=ω(t)×r=k×v0−5/2×μ×g×t.
Gelijkstellen van de uitdrukking voor v(t) en u(t) levert v0+μ×g×t=k×v0−5/2×μ×g×t →
μ×g×t+5/2×μ×g×t=k×v0-v0 → (1+5/2)×μ×g×t=7/2×μ×g×t=(k-1)×v0 →
t=2×(k-1)×v0/(7×μ×g)
In de getypte bijlage die je hebt geplaatst, staat hierachter 3½v0(k-1)/(μ×g). Dat lijkt me onjuist. Moet het niet zijn v0(k-1)/(3½μ×g)? Ook in de laatste regel van die bijlage lijkt een fout te staan: {1+2(k-1)}/7 moet volgens mij zijn {7+2(k-1)}/7=(2k+5)/7 enz.
Groeten, Jaap Koole

Plaats een reactie

+ Bijlage

Bevestig dat je geen robot bent door de volgende vraag te beantwoorden.

Noortje heeft tweeëntwintig appels. Ze eet er eentje op. Hoeveel appels heeft Noortje nu over?

Antwoord: (vul een getal in)