
Om een bocht te nemen en dus een stuk cirkelbaan af te leggen moet op de fietser een naar het middelpunt gerichte (middelpuntzoekende) kracht werken. Die kracht wordt geleverd door de zijwaartse wrijvingskracht tussen de wielen en de weg. Zonder die wrijvingskracht is het nemen van de bocht onmogelijk. Denk maar aan wat er gebeurt als je op volmaakt glad ijs zou rijden: je valt gauw om en het sturen en bchten maken lukt niet.
Hieronder zie je een fietser getekend die een bocht maakt. Het middelpunt van de cirkelbaan ligt in de tekening aan de rechterkant.
Op de fietser werken de volgende krachten: De voorwaartse fietskracht en de achterwaartse wrijvingskracht (deze twee zijn niet getekend), de zwaartekracht, de normaalkracht en de zijwaartse wrijvingskracht.
De zijwaarse wrijvingskracht levert de nodige middelpuntzoekende kracht om de bocht te kunnen nemen. Bedenk dat het zogenaamde uit-de-bocht-vliegen komt doordat de zijwaartse wrijvingskracht onvoldoende is om de benodigde middelpuntzoekende kracht te leveren. De straal van jouw bocht is dan groter dan die van de weg en je komt naast de weg terecht. Als de fietser de bocht goed neemt, zonder te kantelen, dan moet de resultante van de zijwaartse wrijvingskracht en de normaalkracht precies door het zwaartepunt van de fietser gaan. Dan is de som van de momenten om het zwaartepunt Z gelijk aan nul. (neem het zwaartepunt als draaipunt en je ziet dan dat van Fz en Fn+Fw,zijw de arm 0 is). De fietser zal in dezelfde stand de bocht kunnen nemen.
De maximale zijwaartse wrijvingskracht kan je ook weer met een wrijvingscoëfficiënt berekenen:
>
De wrijvingscoëfficiënt μ is voor de zijwaartse wrijving natuurlijk veel groter dan die voor de achterwaartse wrijving. (je kan een auto veel gemakkelijker vooruitduwen dan opzijschuiven!)
Berekening
Een fietser heeft (inclusief fiets) een massa van 80 kg. Hij neemt een bocht met een snelheid van 27 km/h. De straal van de bocht is 20 m. De wrijvingscoëfficiënt voor de zijwaartse wrijvingskracht is 1,2
Gevraagd:
- Hoe groot is de hellingshoek α tijdens deze bocht?
- Bereken de maximale snelheid waarmee de bocht (in theorie) genomen kan worden.
- Bereken de hellingshoek die daarbij hoort.
Berekening voor (a)
a) De nodige middelpuntzoekende kracht vind je met:
>
De zijwaartse wrijvingskracht moet de middelpuntzoekende kracht leveren dus:
>
De normaalkracht is hier even groot als de zwaartekracht dus
>
Volgens de bovenstande figuur geldt:
>
Dus α= 75o
Berekening voor (b)
De maximale zijwaartse wrijvingskracht is te berekenen met
>
Vullen we dit in, dan krijgen we:
>
Die kracht levert de middelpuntzoekende kracht dus:
>
en v = 15,3 m/s = 55 km/h
Het is overigens de vraag of de fietser die snelheid nog aandurft: de kans dat je uit de bocht te vliegt of dat je slipt en onderuit te gaat is dan wel erg groot.
Berekening voor (c)
De bijbehorende hoek reken je uit volgens vraag a):
>
Dus α = 40o
In het algemeen geldt voor het berekenen van de maximale snelheid waarmee een bocht genomen kan worden:
>
en
>
en
>
dus
>
Je ziet dat die maximale snelheid niet afhangt van de massa van de fietser, en dat je een scherpe bocht (r is dan klein) met lage snelheid moet nemen. De hoek α die hierbij hoort vind je met (zie fig hierboven)
>
Verkanting
Het nemen van een bocht met een behoorlijke snelheid wordt veel gemakkelijker als je in de bocht het wegdek een helling geeft. Hieronder zie je een wielerbaan. In de bochten heeft de baan een flinke helling, waardoor je in de bocht net zo gemakkelijk rijdt als op de rechte stukken.
Zie de tekening hieronder. Doordat het wegdek een hellingshoek α heeft, draagt de normaalkracht bij aan het leveren van de nodige middelpuntzoekende kracht. In de getekende situatie wordt de bocht genomen zonder dat er een zijwaartse wrijvingskracht nodig is. De y-component van Fn heft de zwaartekracht op en de x-component van Fn levert de middelpuntzoekende kracht.
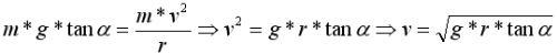
Je kan de snelheid waarmee deze bocht genomen wordt berekenen met:
>
en:
>
dus:
>
Intermezzo: maximale snelheid
Als de fietser met een wrijvingscoëfficiënt voor de zijwaartse wrijving μ de bocht met maximale snelheid neemt, dan blijkt (na tamelijk veel rekenwerk) die maximale snelheid gelijk te zijn aan:
>
Om te zorgen dat auto’s en treinen beter en veiliger de bochten kunnen nemen worden spoorwegen en autowegen ook van een (kleine) helling voorzien. Die helling heet in vaktaal de ‘verkanting’.
Steile wand rijden
Je kan de verkanting ook zó overdrijven dat de fietser tegen een verticale wand rijdt. Bij sommige kermissen is dat ook als speciale attractie te zien. zie hiernaast. Je moet als fietser over voldoende snelheid en zijwaartse wrijving beschikken en het lukt.
Je kan voor de steile wandrijder gemakkelijk formules opstellen waarmee je de minimaal nodige snelheid kan uitrekenen. Zie de tekening
De zijwaartse wrijvingskracht heft de zwaartekracht op en de normaal kracht levert de middelpuntzoekende kracht. De resultante van Fz en Fn moet weer door het zwaartepunt Z gaan.
In dit geval is
>
En:
>
Dus:
>
>
Als de wrijvingscoëfficiënt groot is en de straal van de cirkelbaan klein, behoeft de snelheid niet zo groot te zijn.